GSR公开课第四十一讲:建设用地修复管控技术绿色可持续效应评估及自然衰减实践探索研究
主讲人:邓绍坡 研究员
(2023年11月24日)
邓绍坡,博士/研究员;生态环境部南京环境科学研究所土壤污染防治研究中心污染场地风控与修复研究室主任,主要研究方向为污染地块精准化调查及精细化评估、绿色可持续修复技术研究。承担和参与重点研发计划、863、环保公益专项等十余项;参与国标GB36600、建设用地调查评估HJ 25系列技术导则、《污染地块土壤环境管理办法》等多项土壤标准和技术导则制定。承担各类污染场地咨询项目200多项,发表SCI、EI、中文核心期刊论文40余篇,获国际发明专利6项、国家发明专利8项,获环保部环境保护科学技术奖2项。在土壤环境管理、土壤环境标准制修订方面具有丰富的理论和实践经验;全国土壤污染状况详查技术指导专家,入选多个地方土壤污染防治专家库,入选2018年度江苏省科技服务“百优人才”,江苏省产业教授。
课程概要:
本报告内容分三个主要方面,首先是十三五期间建设用地土壤与地下水修复与管控试点项目综合效益评估相关成果介绍,其次是连续八年的地下水监控自然衰减现场实践探索的典型案例研究,最后基于以上研究成果,结合我国建设用地环境管理政策需求和导向,得到相关启示和思考。
课程内容:
(一)试点项目概况
全国十三五期间建设用地试点项目(下简称“试点项目”)共计134个,分布在25个省份,其中甘肃省分布最多,有建设用地试点项目23个。从污染物种类上看,试点项目修复目标污染物最多的是重金属(涉79项),其次是SVOCs(涉55项)和VOCs(30项),特定污染物种类以砷、铅、镉、苯并芘和石油烃为主。从中梳理出土壤和地下水风险管控和修复技术体系,见图1。
其中,土壤修复/管控技术项目中,使用最多的是固化稳定化,其次为异位热脱附和化学氧化,在地下水修复/管控技术中,项目使用最多的是抽出处理,其次为是化学氧化和阻隔。

图1 项目技术路线
(二)修复技术筛选方法
修复技术的筛选通常基于“成熟性、可操作性、适用土壤渗透性、处理效率、修复时间、费用、二次污染、公众认可度以及对各类污染物的适用性”等指标构建筛选矩阵。
(三)试点项目综合效益评估
1、LCA模型
采用生命周期评价软件(SimaPro),针对试点项目应用较多的8个土壤和地下水风险管控和修复技术建模,评估其综合效益,梳理出各修复技术关键的影响因素,见表1。以土壤固化稳定化为例,其关键因素为固化药剂硅酸盐水泥的生产,但更底层的影响因素是水泥熟料(电和石灰等)的生产。
表1 综合效益关键影响因素及底层关键因素
|
土壤修复/管控技术 |
关键因素 |
底层关键因素 |
|
固化稳定化 |
固化药剂-硅酸盐水泥 |
水泥熟料(电和石灰等)的生产过程 |
|
异位热脱附 |
热脱附设备的电耗和液化石油气 |
发电所需煤炭的开采处置 |
|
化学氧化 |
过硫酸钠 |
电、过氧化氢、氢氧化钠、硫酸 |
|
阻隔技术 |
水平阻隔的黏土层和垂向阻隔的泥浆墙 |
黏土和水泥熟料(电和石灰等)的生产过程 |
|
水泥窑协同处置 |
水泥窑协同处置过程 |
水泥生产线窑炉高温所需的热能 |
|
化学还原 |
制备EHC中nZVI的硼氢化钠 |
电、氢氧化钠和硼酸三甲酯 |
|
异位土壤淋洗 |
淋洗设备的电耗 |
发电所需煤炭的开采处置 |
|
原位热脱附 |
加热土壤的电耗 |
发电所需煤炭的开采处置以及石油的开采处置 |
|
地下水修复/管控技术 |
关键因素 |
底层关键因素 |
|
抽出处理 |
止水帷幕水泥 |
水泥熟料生产(电和石灰等) |
|
化学氧化 |
过硫酸钠 |
电、过氧化氢、氢氧化钠、硫酸 |
|
阻隔技术 |
水平阻隔:黏土;垂向阻隔:泥浆墙 |
黏土和水泥熟料(电和石灰等)的生产过程 |
|
多相抽提 |
抽提所需电耗 |
发电所需煤炭的开采处置 |
|
监控自然衰减 |
实验室检测仪器电耗 |
发电所需煤炭的开采处置 |
|
可渗透反应墙 |
离子交换树脂 |
电、聚苯乙烯、三氯甲烷、三甲胺 |
|
化学还原 |
制备EHC中nZVI的硼氢化钠 |
电、氢氧化钠和硼酸三甲酯 |
2、总环境效益
总环境效应可以分为三类,分别为对人体健康的影响、生态系统的影响、以及资源消耗的影响。以50个项目为对象,分析每个项目的修复施工报告,构建了50个修复方案的全生命周期模型,并评估每套修复方案的环境影响(包括总影响和22种损害类型的环境影响),如图2所示。

图2 50个修复工程项目总环境影响排序(以项目编号代替项目名称)
环境影响最小的技术其修复技术比较单一,污染物的类型也比较单一。污染物的类型决定采用的修复技术,从而影响其可能造成的环境影响。在筛选修复技术时,要从多个角度进行,如人体健康、生态系统和资源等,综合全面地进行修复技术的筛选。
3、三类环境影响特点
三大类环境影响(人体健康、生态系统和资源消耗)的特点如下:
(1)人体健康影响共梳理出8种效应,包括全球变暖、离子辐射、平流层臭氧消耗、臭氧生成、颗粒物生成、人类非致癌毒性、人类致癌毒性、和水资源健康。
(2)生态系统影响包括全球变暖-陆地生态系统、臭氧生成-陆地生态系统、全球变暖-淡水生态系统、陆地酸化、淡水富营养化、陆地生态毒性、海洋富营养化、淡水生态毒性、海洋生态毒性、水资源消耗-陆地生态系统、土地利用、水资源消耗-水生生态系统。
(3)资源消耗影响包括矿石资源消耗和化石资源消耗。
前述50个修复项目,项目1(焦化场地,土壤和地下水PAHs污染,全部清挖后外运水泥窑)在12/22种环境影响中排序最前。以全球变暖为例,该项目修复1m3土壤/地下水,排放约24.4~1874.3 kg CO2,关键因素为水泥窑协同处置(底层因素为消耗的热能)、修复电耗(底层因素为煤炭开采处置)以及止水帷幕水泥生产(底层因素为水泥熟料)。项目50(农药场地,地下水VOCs污染,自然衰减)在22/22种环境影响中排序最末。
(一)地块概况及污染概况
• 原企业生产时间:1958年-2007年
• 主要产品:农药类产品包括敌敌畏、敌百虫、久效磷、丁草胺、乙草胺、草甘膦、喹禾灵等,化工类产品包括烧碱、液氯、盐酸、双乙烯铜、双乙甲胺、改良树脂、聚四氟乙烯等。
• 地块主要污染物:苯系物(BTEX)、氯代脂肪烃(CAH)、氯苯(CB),苯酚、PAHs、草甘膦、毒死蜱等。
• 场地治理历程:场地调查评估(2010-2011年)、土壤修复治理(2013-2016年)、长期监控(2016-2022年),即2010-2016完成土壤治理,实现清源。
• 污染概况:2015年调查评估地下水污染,面积为72000 m2,调查范围内(-20m以上),-20m以下地下水仍存在大面积高风险区域,目标污染物19种。
(二)地下水绿色修复管控技术的筛选
初步选择三种备选地下水修复/管控技术:高浓度VOCs污染地下水的自然衰减(MNA)、生物炭(BC)和抽出处理(PT),进行全生命周期建模,评估目标为对比MNA+BC、BC和PT建设期和运营期的环境影响经济成本,评估范围为处理场地污染源区(设定225 m2)的地下水中273.03 kg VOCs。
• MNA+BC:先利用MNA将VOC降至一定浓度,再通过注射生物炭形成可渗透性吸附墙。
• BC:高浓度状态下注射生物炭形成可渗透性吸附墙,吸附处理BC。
• PT:设立止水帷幕,地下水抽出至地上,采用汽提+催化氧化+活性炭吸附处理。

图3 地下水备选修复/管控技术示意图
备选修复技术综合比较结果见图4所示。环境影响/成本对比结果为PT > BC > MNA+BC,其中PT中水泥和电耗影响较大,MNA+BC/BC中热解生物质电耗影响较大,利用生物炭副产物产热产电可产生正面环境效益。提出的优化建议包括:可回收或环境友好型材料、采用清洁能源发电以及利用生物炭副产物。

图4 地下水备选修复/管控技术环境影响分析结果
(三)MNA系统
(1)监控点位:60个(一期:2016-2021),85个(二期:2022-2027)
(2)监控区域:约30万m2
(3)监控周期:2016年6月-2021年6月,2022年6月-2026年12月
(4)监控次数:24次(2个月1次→1个季度1次→半年1次)
(5)监测指标:
• 污染物指标:VOCs、SVOCs、草甘膦、毒死蜱等;
• 地下水质量指标及典型地球化学指标(部分点位):GB/T14848-2017表1中37项指标、pH、温度、Eh、DO
(6)自然衰减趋势评估方法:
• 参考依据:美国EPA自然衰减相关方法
• 评估程序:
第一层级证据:污染物浓度及污染羽面积变化趋势,污染物浓度衰减速率(C-T)、污染羽状态变化趋势(C-D);
第二层级证据:基于典型地球化学参数的MNA间接评估;
第三层级证据:室内实验、稳定同位素测定、现场土著微生物群落特征及目标污染物降解功能菌。
现已完成完整的三层次证据数据的获取以及规律的总结。
(四)MNA结果
第一层次主要是污染物浓度以及污染程度;第二层次是基于地球化学参数对自然衰减能力的间接性评估;第三层次是设计并开展室内实验,结合野外同位素的测定以及现场土著微生物特征的监控。
1、第一层次
(1)典型污染物浓度变化趋势
苯系物、氯代芳香烃、氯代脂肪烃、苯酚类污染物浓度总体呈跳跃式降低趋势;部分指标(1,1,2-三氯乙烷、4-氯甲苯、1,1-二氯乙烯、苯酚等)随时间推移呈现不规律的增加。
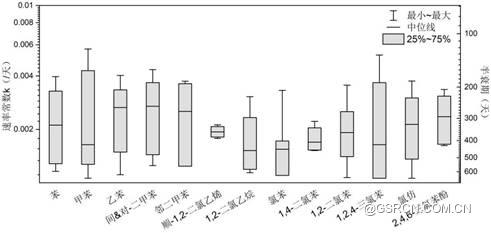
(2)典型污染物衰减速率
基于一级反应动力学对每种污染物计算所有点位上的衰减数速率,基于能较好符合一级动力学模型的计算结果,统计了典型污染物衰减速率,衰减速率范围在每天0.01%-0.6%之间(图5)。

图5 地下水中典型污染物衰减速率
(3)典型污染物污染羽变化趋势
BTEX、CAH_Ar、CAH_a、Phe污染羽面积均呈下降趋势,但超过10000 μg/L的极高浓度污染羽面积降低趋势不明显。污染羽形状随时间推移呈现不规则变化,超过100 μg/L的范围多基本位于地块范围内、由于地下水流向变化的复杂性,污染羽未在特定方向上呈现出增长、稳定或萎缩的状态(图6)。
|
|
|
|
苯系物(BTEX) |
氯代芳香烃(CAH_Ar) |
|
|
|
|
氯代脂肪烃(CAH_a) |
苯酚类(Phe) |
图6 地下水中典型污染物污染羽面积变化趋势
(4)综合风险变化趋势
地块综合风险呈现跳跃式减低(图7),但高风险区域面积降低并不明显,高风险污染羽位于地块范围内,未出现长距离迁移,暂未触发迁移风险(图8)。

图7 地下水中污染物环境风险等级及对应面积

图8 地下水中污染物风险等级及演变
以10-6风险为标准,监测期间污染面积缩小了2.5倍。目前仍然超风险污染物可归位4类,BTEX、氯代脂肪烃、氯代芳香烃和其他(三氯酚、苯胺及邻甲基苯胺)。按照超风险污染物浓度,可将监测井大致聚为3类:第一类为高风险区,第二类为背景区,第三类为低风险区。高风险区监测井存在明显的氯乙烯累积,而在低风险区,仍然存在超风险的苯、1,2-二氯乙烷、对二氯苯等污染物残留。

图9 地下水中污染物综合风险
2、第二层次
(1)水文和地球化学指标间接证明
通过监测环境水文地球化学指标,分析判断地下水条件是否适宜目标污染物生物降解的发生,主要包括地下水理化性质(如有机碳含量、矿物含量、pH、温度、ORP等)以及典型电子受体(O2、硝酸根、硫酸根、三价铁等)的分析。
在监测的11个点位中,仅有JC-22、JC-25与JC-9三个点位始终未有充足的微生物降解证据,其中JC-25与JC-9为场地边界微污染点位。考虑到部分指标未监测或未参与评分,其实际评分或大于等于上述评分结果。在所监测的点位中,绝大多数点位具有显著的微生物脱氯能力。
(2)氯代脂肪烃CAH衰减能力
由图10可知,大部分区域微生物降解能力不足,而对于污染物浓度比较高的监测点位,微生物降解能力相对也较高。

图10 CAH天然生物降解能力评估
CAH衰减速率范围为0.0001~0.0040 d-1,半衰期为172~6945 d,至少还需监测9年的时间达标。还需要联合其他修复技术以强化自然衰减过程,使污染物浓度尽快达到修复目标。

图11 CAH自然衰减能力评估
(3)四氯化碳衰减能力
核心区点位的四氯化碳在2016年8月—2018年12月可能以微生物共代谢降解为主,而在2018年12月以后以还原脱氯降解为主。

图12 地下水中硝酸盐(a)及溶解性有机碳(b)质量浓度变化
(4)BTEX衰减能力
地下水中氧化还原电位(ORP)为-361 ~ 240.2 mV,平均值为-56.71 mV,地下水中ORP值较低,有利于BTEX发生微生物降解;ORP与BTEX浓度的线性关系显示两者呈显著负相关性(p < 0.01)。

图13 地下水中氧化还原电位与BTEX浓度关系图
BTEX高浓度区域发生生物降解,ORP作为间接证据进一步证实BTEX的自然衰减。BTEX衰减速率较小,半衰期较长,该场地单纯依靠监控自然衰减的修复时间可能较长,需要与其他修复技术相结合建立场地修复体系。
3、第三层次
(1)室内微宇宙模拟实验
脱氯菌属相对丰度与苯系物浓度呈极显著正相关,但与氯代烃浓度之间相关性不显著。氧化还原电位(ORP)与苯系物浓度呈负相关,且在深层地下水中其相关性更显著。脱氯菌属相对丰度沿深度差异显著,其在14m比8m高14.5±12.6%。pH、氧化还原条件(ORP、Fe(II)、SO42-)及产物Cl-浓度都与群落组成显著相关。

图14 室内微宇宙模拟实验
(2)苯系物δ13C衰减能力
苯系物δ13C值在整个场地沿地下水流向上被富集,且大于2‰,表明有效发生生物降解。以下污染物的δ13值变化均超过+2‰,说明地下水发生了污染物生物降解(图15)。
苯碳同位素比变化范围为-31.31‰~-11.96‰,甲苯碳同位素比变化范围为-26.83‰~-23.57‰,乙苯碳同位素比变化范围为-27.73‰~-25.82‰,间&对二甲苯碳同位素比变化范围为-27.67‰~-23.41‰,邻二甲苯碳同位素比变化范围为-45.62‰~-20.39‰,1,4-二氯苯碳同位素比变化范围为-25.93‰~-17.39‰,1,2-二氯苯碳同位素比变化范围为-31.21‰~-22.65‰。



图15 污染物的δ13值变化情况
(3)场地微生物
场地内存在参与氯代烃、苯系物等污染物降解的功能菌群,因此氯代烃、苯系物具有生物降解的潜力(图16)。

图16 场地微生物相对丰度
1、场地地下水污染调查方法
地下水调查应系统设计、适时优化调整,总结认识场地地下水污染规律。
2、地下水污染动态精细化风险评估
四年内成人总致癌风险从4.11×
下降到2.76×
,2020年6月风险依旧较高,主要是由于VCE浓度突然升高导致,表明仍需继续监测且关注降解产物的风险。成人非致癌风险四年内从80.57下降到14.54,说明自然衰减可有效降低非致癌风险。自然衰减过程中对总非致癌风险贡献的优势污染物不同。
不同污染物对总风险的贡献随时间而变化,不同时期关注的主要污染物不同。根据每种污染物对总风险的贡献计算修复目标(RG)会更准确。根据风险比例先对优势污染物进行修复,及时调整污染物的RGs,达到整个场地修复的目的。
3、强化衰减效率-EMNA设计(流场与物质场的耦合作用)
采用Chao1、shannon和pd指数指示不同监测井的α-多样性,Chao1指数和pd指数均表现出沿地下水流向递增的趋势,而shannon指数等值线凸向高风险监测井。说明地下水流向产生的微生物多样性差一主要来源于丰富度的差异(Chao1指数),而物种丰富的差异主要来源于系统发育多样性(pd指数)。而物种均一性(shannon)可能受到污染物或其他地球化学因素影响。
地下水污染导致微生物群落组成出现显著分异(门水平)。
• 背景点位微生物群落以Proteobacteria(变形菌)为主
• 受污染区域Desulfobacterota(脱硫杆菌)相对丰度均显著增加。
• 高风险区Firmicutes(厚壁菌门)和Chloroflexi(绿弯菌门)相对丰度显著增加(Lesfe,LDA Score=2, p<0.05)。
不同监测井之间的群落差异显著,而不同深度微生物群落差异并不显著(基于Bray-Curtis距离的PCoA分析展示了不同监测井微生物群落的β-多样性差异,adonis和anosim检验均证明)。
4、流场与地球化学环境的耦合
通过点位进行变量指数法的分析,识别出园区、扩散区以及污染的尾部区域,进行趋势分析。MW1周边可能存在污染源,持续释放;MW4-9点位中氯代烃发生自然衰减;结合地下水流向分析,MW7前期的污染增加可能来源于MW1、MW2和MW3,监测井中的低氯代烯烃(LCEs)和低氯代烷烃(LCAs)占主导地位,这可能是由于污染源MW1的扩散。同时,微生物群落的多样性和丰富度主要受低氯代脂肪烃,尤其是低氯代烯烃的影响。

图17 不同点位污染源
5、污染与地球化学条件耦合
污染物组成、浓度及环境参数影响了微生物群落;微生物群落的多样性和丰富度主要受低氯代脂肪烃,尤其是低氯代烯烃的影响。
6、建设用地污染防治需求及前景
2023年7月17日至18日,全国生态环境保护大会在北京召开,习总书记指出,净土保卫战重在强化污染风险管控,要开展土壤污染源头防控行动,要统筹推动乡村生态振兴与农村人居环境整治,建设美丽乡村。系统阐述了继续推进生态文明建设需要正确处理“五个重大关系”:一是高质量发展和高水平保护的关系;二是重点攻坚和协同治理的关系;三是自然恢复和人工修复的关系,综合运用自然恢复和人工修复两种手段,努力找到生态保护修复的最佳解决方案;四是外部约束和内生动力的关系;五是“双碳”承诺和自主行动的关系。
2023年10月10日至11日,生态环境部在重庆召开生态环境科技工作会议。黄润秋部长在讲话里边提到了美丽中国建设对生态环境科技需求比较突出的两个方面:一是在减污降碳协同增效方面,存在协同控制机理不清、技术路径不明、政策标准融合创新不足的问题。二是在污染防治方面,存在复合污染过程机理判断不清,部分复合污染无法精准溯源,管控精准化程度不够的问题。
课程总结:贾瀛洛、杨欣桐