Ö÷½²ÈË£ºÁºÈü ½ÌÊÚ
£¨2022Äê2ÔÂ11ÈÕ£©
£¨»ñµÃÇ廪´óѧѧʿѧλºÍ²©Ê¿Ñ§Î»£¬¹ã¶«¹¤Òµ´óѧ¡°°ÙÈ˼ƻ®¡±ÌØÆ¸½ÌÊÚ¡¢²©Ê¿Éúµ¼Ê¦£¬¹ú¼Ò¸ß²ã´ÎÇàÄêÈ˲š£´ÓÊ»·¾³ÏµÍ³·ÖÎöÁìÓòµÄ½Ìѧ¿ÆÑй¤×÷£¬Ö÷Òª¹Ø×¢Éç»á¾¼Ã¹ý³ÌÓëÉú̬»·¾³¹ý³ÌµÄñîºÏÄ£Äâ·ÖÎö£¬´Ó¶àÊÓ½Çʶ±ðÉç»á¾¼ÃϵͳÖÐÓ°ÏìÉú̬»·¾³ÎÊÌâµÄ¹Ø¼üÒòËØ£¬Îª¼õÉÙ»·¾³Ó°ÏìµÄÕþ²ß¾ö²ßÌṩ¶àÊÓ½Ç-¶à¹ý³ÌµÄ¿ÆÑ§Ö§³Å¡£ÔÚNature×Ó¿¯¡¢Cellæ¢Ãÿ¯One Earth¡¢»·¾³×¨Òµ¶¥¿¯Environmental Science & TechnologyµÈ·¢±íÂÛÎÄ130ÓàÆª¡£ÂÛÎÄ×ܱ»Òý5200Óà´Î£¬HÖ¸Êý43¡£Ôø»ñEnvironmental Science & Technology 2020Äê¶ÈÓÅÐãÆÀÉ󽱡¢±±¾©ÊеÚÊ®ËĽìÕÜѧÉç»á¿ÆÑ§ÓÅÐã³É¹û½±¶þµÈ½±¡¢ÌÕÊϿɳÖÐøÐÔÏîÄ¿²©Ê¿ºó¡¢±±¾©ÊÐÓÅÐã±ÏÒµÉú¡¢Ç廪´óѧÓÅÐ㲩ʿѧλÂÛÎÄÒ»µÈ½±µÈÈÙÓþ£©
¿Î³Ì¸ÅÒª£º
»·¾³×ã¼£¸ÅÄî»ùÓÚÉúÃüÖÜÆÚ˼Ï룬±»¹ã·ºÓÃÓÚ»·¾³¹ÜÀíÖС£Í¶Èë²ú³ö·ÖÎöÊǺËËã»·¾³×ã¼£µÄÒ»ÖÖ³£Ó÷½·¨¡£±¾¿Î³Ì´Ó»·¾³×ã¼£¸ÅÄîÇÐÈ룬½²½âΪʲôҪ¹Ø×¢»·¾³×ã¼££¬»·¾³×ã¼£¶Ô»·¾³¹ÜÀí¹¤×÷ÓÐʲôÆôʾ×÷Ó᣽ø¶ø½éÉܺËËã»·¾³×ã¼£³£ÓõÄͶÈë²ú³öÄ£ÐÍ£¬°üÀ¨»ù±¾ÔÀí¡¢»ù±¾¸ÅÄƽºâ¹ØÏµ¡¢ÔËËã¹ý³Ì£»Ö®ºó½²½âÈçºÎ¶ÔͶÈë²ú³öÄ£ÐͽøÐл·¾³À©Õ¹£¬²¢ÓÃÓÚ»·¾³×ã¼£ºËËã¡£×îºó£¬½áºÏ°¸Àý·ÖÎö£¬½²½â»·¾³À©Õ¹µÄͶÈë²ú³öÄ£ÐÍÔÚ»·¾³¹ÜÀíÖеĵäÐÍÓ¦Ó㬰üÀ¨»·¾³×ã¼£ºËËã¡¢ÉúÃüÖÜÆÚÆÀ¼Û¡¢¾¼ÃÐÐΪ¶Ô»·¾³Ñ¹Á¦µÄÓ°Ïì¡¢·çÏÕ¶Ô²úÒµÁ´¾¼ÃµÄÓ°Ïì¡¢¾¼Ã»·¾³ÍøÂç·ÖÎöµÈ¡£
¿Î³ÌÄÚÈÝ£º
£¨Ò»£©¸ÅÄîÒýÈë
»·¾³×ã¼£»ùÓÚÉúÃüÖÜÆÚÀíÄÊǶԲúÆ·»òÕß·þÎñµÄ×îÖÕÐèÇóËùµ¼ÖµÄÖ±½ÓºÍ¼ä½Ó»·¾³Ñ¹Á¦¡£Ä¿Ç°¶à·½Ìáµ½µÄϵͳÀíÄҲÊÇÒ»ÖÖ»·¾³×ã¼£ºÍÉúÃüÖÜÆÚÀíÄîµÄÌåÏÖ¡£Ó봫ͳ¼à²â£¨Éú²úÊӽǣ©Ïà±È£¬»·¾³×ã¼£ÊÇ»ùÓÚÏû·ÑÊӽǣ¬ÔÚÕû¸ö²úÒµÁ´µÄ×îÄ©¶Ë»·½ÚÈ¥ºËËãÈ«²úÒµÁ´µÄ»·¾³Ó°Ïì¡£Á½ÖÖÊÓ½ÇÏศÏà³É£¬Éú²úÊӽǿÉÒÔ½øÐÐÅÅ·ÅÔ´¹Ü¿Ø£¬Ïû·ÑÊӽǿɷÖÎöÏû·Ñģʽ¡¢Ïû·Ñˮƽ±ä¶¯¶ÔÈ«¾Ö²úÉúµÄÓ°Ïì¡£¸ù¾ÝÃÀ¹úÎÂÊÒÆøÌåºËËãԴʶ±ðµÄ½á¹û£¬Éú²ú¶Ëʶ±ðµÄǰÈý´óÔ´Í·ÊÇElectricity¡¢Energy intensive¡¢Agriculture£¬¶øÏû·Ñ¶Ëʶ±ð³öµÄÔòÊÇServices¡¢Manufacture¡¢Food£¬¶þÕßʶ±ðµÄµ÷¿Ø×¥ÊÖÊDz»Ò»ÑùµÄ¡£
»ùÓÚÏû·ÑÊӽǺËËã¹úÄÚ»·¾³Ñ¹Á¦£¨ÁìÓò·¶Î§µÄ£©£º¸Ã¹úµÄ»·¾³×ã¼£=»ùÓÚÉú²úÊӽǺËËãµÄ»·¾³Ñ¹Á¦+½ø¿ÚÒþº¬µÄ»·¾³Ñ¹Á¦-³ö¿ÚÒþº¬µÄ»·¾³Ñ¹Á¦¡£Òò´Ë£¬¹ú¼ÒÖ®¼ä¡¢ÇøÓòÖ®¼äµÄóÒ×£¬ÔÚ»·¾³×ã¼£µÄºËËãÖкܹؼü£¬ÉÌÆ·½ø¿Ú¹ú»á°Ñ»·¾³¸ºµ£×ªÒƸøÉÌÆ·³ö¿Ú¹ú¡£
£¨¶þ£©¹ú¼ÊóÒ×Óë»·¾³ÎÊÌâ
ÁªºÏ¹úÆøºò±ä»¯¿ò¼Ü¹«Ô¼Ìá³ö¹²Í¬µ«ÓÐÇø±ðµÄÔðÈΣ¬ÈÏΪ¸½¼þB¹ú¼Ò£¨´ó¶àÊÇ·¢´ï¹ú¼Ò£©Óмõ»ºÆøºò±ä»¯µÄÔðÈΣ¨»ùÓÚÉú²úÊӽǣ©£¬¶ø·Ç¸½¼þB¹ú¼Ò£¨´ó¶àÊÇ·¢Õ¹Öйú¼Ò£©Ã»ÓмõÅÅÔðÈΡ£Õâµ¼ÖÂÈ«Çò¶þÑõ»¯Ì¼ÅŷŲ»µ«Ã»ÓмõÉÙ£¬·´¶øÔö¼Ó¡£ÒòΪËäÈ»¸½¼þB¹ú¼ÒÍ£Ö¹ÁË̼ÅÅ·ÅÇ¿¶È¸ßµÄÉú²ú»î¶¯£¬µ«´ÓÏû·Ñ¶ËºËË㣬ËûÃÇÏû·ÑËùµ¼ÖµÄÈ«Çò̼ÅÅ·ÅÊÇÔö¼ÓµÄ£¨Éú²ú»î¶¯×ªÒƵ½·Ç¸½¼þB¹ú¼Ò£©£¬¶ø·Ç¸½¼þB¹ú¼ÒÓÉÓÚûÓп¼ºËѹÁ¦£¬Ì¼ÅÅ·ÅÁ¿Ñ¸ËÙÔö³¤¡£
2011Ä꣬ÃÀ¹ú¿ÆÑ§ÔºÔº¿¯µÄÑо¿ºËËãÁ˹ú¼ÊÖ®¼äµÄ̼Á÷ÏòÊÇÈçºÎ×ªÒÆÁ÷¶¯µÄ£¬·¢ÏÖÖ÷ÒªÊÇ´Ó·¢Õ¹Öйú¼ÒÒþº¬Á÷¶¯µ½·¢´ï¹ú¼Ò£¨²úÆ·ÔÚ·¢Õ¹Öйú¼ÒÉú²ú£¬ÔÚ±±ÃÀºÍÎ÷Å·µÈ·¢´ï¹ú¼ÒÏû·Ñ£©¡£´ËÍ⣬NatureÉϵÄһƪÎÄÕÂÑо¿±íÃ÷ÉúÎï¶àÑùÐÔÒ²´æÔÚͬÑùµÄÎÊÌ⣨¶«ÄÏÑÇÉúÎï¶àÑùÐԵļõÉÙ¸úÎ÷Å·¹ú¼ÒµÄÏû·ÑÓнôÃܹØÏµ£©¡£
Óɴ˿ɼû£¬µ¥´¿µÄÉú²ú²à¹Ü¿Ø£¬²¢²»Ò»¶¨ÄÜ¿ØÖÆ×¡È«¾ÖµÄ»·¾³ÎÊÌ⣬ÐèÒª´ÓÉúÃüÖÜÆÚÀíÄî³ö·¢£¬´Ó»·¾³×ã¼£¸ÅÄî³ö·¢£¬½øÐÐÈ«¾Ö¹Ü¿Ø¡£
£¨Èý£©ºËËã»·¾³×ã¼£µÄÓÃ;Óë·½·¨
»·¾³×ã¼£Äܹ»ºËËãijһ¹ú¼ÒµÄÏû·Ñ£¬Í¨¹ýºÎÖÖ·¾¶£¬Ö±½Ó¡¢¼ä½ÓÇý¶¯ÁËÁíÒ»¸ö¹ú¼ÒµÄ»·¾³Ñ¹Á¦£ºB¹ú£¨¶à¸ö¹ú¼Ò£©µÄÏû·Ñ£¨¶ÔºÎÖÖ²úÆ·µÄÏû·Ñ£©£¬Í¨¹ý¹ú¼ÊóÒ×£¨°üÀ¨¼ä½ÓóÒ×A¡úC¡úD¡ú¡¡úB£©£¬Çý¶¯A¹ú£¨¶à¸ö¹ú¼Ò£©µÄ»·¾³Ñ¹Á¦¡£¿ÉΪÏû·Ñ¶ËÌá³ö¼õÅŲßÂÔ£¬Í¨¹ýµ÷ÕûÏû·Ñ¹ú¼ÒµÄÏû·ÑÐÐΪ¡¢Ïû·Ñˮƽ£¬ÊµÏÖÈ«¾Ö¼õÅÅ¡£
»·¾³×ã¼£ºËËã·½·¨ºÜ¶à£¬Ä¿Ç°×îÖ÷Á÷¡¢Ê¹ÓÃ×î¹ã·ºµÄ·½·¨ÊÇ»·¾³À©Õ¹µÄ¶àÇøÓòͶÈë²ú³öÄ£ÐÍ£ºEnvironmentally Extended Multi-regional input-output model £¨EE-MRIO£©¡£
£¨Ò»£©¾¼ÃͶÈë²ú³öÄ£ÐÍ
ÓÉÓÚÀíÂÛ»ù´¡·Ç³£³ÉÊ죬ͶÈë²ú³öÄ£ÐÍÔÚ¾¼Ãѧ°üÀ¨²úÒµÉú̬ÁìÓò¶¼µÃµ½·Ç³£´óµÄÈϿɺ͹㷺ӦÓá£1973Ä꣬ŵ±´¶û¾¼Ãѧ½±°ä¸øÁËÌá³öͶÈë²ú³öÀíÂ۵ĿÆÑ§¼ÒWassily Leontief£¬Ëû·¢Õ¹ÁËͶÈë²ú³ö·ÖÎö·½·¨£¬²¢ÔÚ¾¼ÃѧÁìÓò²úÉúÁËÖØ´ó×÷Óã¬ËµÃ÷ÁËͶÈë²ú³öÄ£ÐÍÈϿɶȺܸߣ¬ÕâÒ²ÊÇÆäµÃµ½¹ã·ºÓ¦ÓõÄÒ»¸öÖ÷ÒªÔÒò¡£
£¨¶þ£©Í¶Èë²ú³öÄ£ÐÍ֪ʶԤ´¢±¸
Ò»ÊǺê¹Û¾¼ÃѧµÄ֪ʶ£¨ÐÐÒµ£¬GDP£¬Ò»°ã¾ùºâ£¬¹©¸ø£¬ÐèÇóµÈ»ù±¾¸ÅÄ£¬ÍƼö½Ì²Ä£ºRonald E. Miller and Peter D. Blair, 2009, Input¨COutput Analysis: Foundations and Extensions £¨Second Edition£©, Cambridge University Press£»¶þÊÇ´úÊýÖеľØÕó¸ÅÄͨ¹ýÏòÁ¿ºÍ¾ØÕóÔËË㣩¡£

£¨Èý£©Í¶Èë²ú³öÄ£ÐÍÓ¦ÓþÙÀý
1. ¹«Ê½ÍƵ¼£º¼ÙÉèÒ»¸öÈý¸öÆóÒµµÄ¾¼ÃÌå

ͶÈë²ú³öËù¿¼²ìµÄʱ¼äͨ³£ÒÔÒ»ÄêΪһ¸öʱ¼ä¶Î£¬µ¥Î»Í¨³£ÊÇ»õ±Ò£¬ÓÃÏúÊÛ¼ÛÖµ±íʾ²úÆ·Á÷¶¯£¨È祡¢$¡¢€£©¡£
²¿ÃÅ£ºÖ¸´ÓÊÂÏàͬÐÔÖʵľ¼Ã»î¶¯µÄËùÓе¥Î»µÄ¼¯ºÏ£¨ÈçÆóÒµ, ×éÖ¯£©¡£
ÒÔÅ©³¡ÎªÀý£¬´ÓÆäËû²¿ÃŹºÂò²úÆ·£¨Í¶È룩£¬°Ñ×Ô¼ºÉú²úµÄ²úÆ·Âô¸øÆäËû²¿ÃźÍ×îÖÕÏû·ÑÕߣ¨²ú³ö£©¡£

ÊÕÒæ¨C³É±¾=ÀûÈó
ÆäÖУ¬ÊÕÒæ=Âô¸øÆäËü²¿ÃŵIJú³ö£¨¶¨ÒåΪÖмä²ú³ö£©+Âô¸øÏû·ÑÕߵIJú³ö£¨¶¨ÒåΪ×îÖÕÐèÇó£©=×ܲú³ö£¨²úÆ·µÄ×ÜÏúÊÛ¼ÛÖµ£©
³É±¾=À´×ÔÆäËû²¿ÃŵÄͶÈ루¶¨ÒåΪÖмäͶÈ룩+ÆäËû³É±¾£¨ÈçÀͶ¯Õß±¨³ê£¬¾»Ë°ÊÕ£¨Ë°ÊÕ-²¹Ìù£©£¬¹Ì¶¨×ʲúÕ۾ɣ¬ÀûÏ¢£¬×â½ð£¨ÍÁµØ¡¢ÉèÊ©µÈ£©£©
ÊÕÒæ=³É±¾+ÀûÈó
×ܲú³ö=ÖмäͶÈë+ÆäËû³É±¾+ÀûÈ󣨶¨ÒåΪÔö¼ÓÖµ£¬¸÷ÐÐÒµÔö¼ÓÖµµÄ×ܺͼ´GDP£©
×ܲú³ö£¨Öмä²ú³ö+×îÖÕÐèÇó£©=ÖмäͶÈë+Ôö¼ÓÖµ
×ܲú³öµÈÓÚ×ÜͶÈëʱ£¬Êг¡´ïµ½¹©¸øºÍÐèÇóµÄƽºâ¡£
×îÖÕÐèÇó°üÀ¨¾ÓÃñÏû·Ñ¡¢Õþ¸®Ïû·Ñ¡¢NGOÏû·Ñ£¬ÒÔ¼°¿â´æ±ä»¯¡¢¹Ì¶¨×ʱ¾Ðγɡ¢¾»³ö¿Ú£¨³ö¿Ú¨C½ø¿Ú£©
2. Èý²¿ÃÅϵͳÇó½âÔö¼ÓÖµ

ÒÔÏÂÊÇͶÈë²ú³ö±íµÄ»ù±¾Ñùʽ£¬°üÀ¨ÖмäµÄÈý¸öÉú²úÕߵĹØÏµ¡¢×îÖÕÐèÇó¡¢Ôö¼ÓÖµ¡¢×ÜͶÈëºÍ×ܲú³ö£¬°ÑÕû¸öÊг¡µÄͶÈëºÍ²ú³öÓñí¸ñµÄÐÎʽ±íʾ¡£Çó½âÔö¼ÓÖµ£ºÏȸù¾ÝÐÐÆ½ºâËã³ö×ܲú³ö£¬È»ºó×ܲú³öµÈÓÚ×ÜͶÈ룬ÔÙ¸ù¾ÝÁÐÆ½ºâ£¬Çó³öÔö¼ÓÖµ¡£

Èç¼ÓÉÏ×ÔÑ»·£¨Ã¿¸ö²¿ÃÅ¿ÉÄÜÓжàÖÖÀàÐÍµÄÆóÒµ£¬ÄÚ²¿ÆóÒµÖ®¼äµÄÉú²ú¹ØÁª¼´×ÔÑ»·£©£¬Çó½â·½Ê½Ò²ÀàËÆ¡£

ÿ¸ö²¿ÃŵÄÐÐÆ½ºâ£¨±íʾ²úÆ·È¥Ïò£©£º×ܲú³ö=Öмä²ú³öÖ®ºÍ+×îÖÕÐèÇóÖ®ºÍ
ÿ¸ö²¿ÃŵÄÁÐÆ½ºâ£¨±íʾͶÈëÀ´Ô´£©£º×ÜͶÈë=ÖмäͶÈëÖ®ºÍ+Ôö¼ÓÖµÖ®ºÍ
ÿһ¸ö²¿ÃÅ£º×ÜͶÈë=×ܲú³ö
Ôö¼ÓÖµÖ®ºÍ=×îÖÕÐèÇóÖ®ºÍ=GDP£¨¹úÄÚÉú²ú×ÜÖµ/µØÇøÉú²ú×ÜÖµ£©
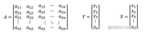
3. ¾ØÕóÔËËã





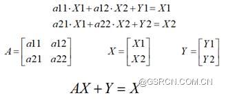
AX + Y = X
4. »·¾³×ã¼£ºËËã¹Ø¼ü¹«Ê½
AX+Y=X¡úX¨CAX=Y¡úX=£¨I-A£©-1Y£¬ÆäÖÐXΪÂú×ãY¹æÄ£µÄÐèÇóËùÐèÒª¸÷¸ö²¿ÃŵIJú³öÁ¿£¬YΪÕû¸ö¹ú¼ÒµÄ×îÖÕÐèÇó£¨Ò²¿ÉÌæ»»Îª¼ÒÍ¥¡¢ÆóÒµ¡¢ÇøÓò¡¢¹ú¼ÒµÄ×îÖÕÏû·ÑW£©
£¨I ¨C A£©-1 = I + A + A2 + A3 + A4 + A5 + ¡¡£¨ÆäÖÐAx´ú±í²¿ÃÅ i ¾¹ýx²½µ½´ï²¿ÃÅ j£©
»·¾³×ã¼£ºËËã¹Ø¼ü¹«Ê½£ºQ = £¨I-A£©-1W£¬ÆäÖУº
L = £¨I-A£©-1: LeontiefÄæ¾ØÕó
lij: ÍêÈ«ÐèÇóϵÊý £¨ÍêÈ« = Ö±½Ó + ¼ä½Ó£©
I: µ¥Î»¾ØÕó
A: Ö±½ÓÐèÇóϵÊý¾ØÕó
W: ¶Ôij²¿ÃŲúÆ·µÄij¸öÐèÇóÁ¿
Q: WµÄÐèÇóÁ¿Ëùµ¼Öµĸ÷¸ö²¿ÃŵIJú³öÁ¿
£¨Ò»£©»·¾³ÎÀÐÇÕË»§
ÔÚÔÀ´¾ØÕóµÄ»ù´¡ÉÏ£¬Ìí¼ÓÀ©Õ¹ÏòÁ¿£¬»·¾³ÅŷųÆÎª»·¾³ÎÀÐÇÕË»§¡£ÒÔ¶þÑõ»¯Ì¼ÅÅ·ÅΪÀý£¬ÈçÏÂͼËùʾ£º

£¨¶þ£©»·¾³Ç¿¶È¾ØÕóµ½»·¾³×ã¼£
»·¾³Ç¿¶È£º¸÷¸ö²¿Ãŵ¥Î»²ú³öËù²úÉú»òÅŷŵÄÎÛȾÎïµÄÁ¿




ͶÈë²ú³ö·ÖÎöÑ§Ï°ÍÆ¼ö½Ì²Ä£º
ÏÄÃ÷£¬Õźìϼ£¬ÁÖ³¿Ò룮ͶÈë²ú³ö·ÖÎö£º»ù´¡ÓëÀ©Õ¹£®2019£¬ÖйúÈËÃñ´óѧ³ö°æÉç
Ronald E. Miler and Peter D. Blair. Input- Output Analysis: Foundations and Extensions£¨ Second Edition £©. 2009, Cambridge University Press
£¨Èý£©ÕûÌå¸ÅÄîͼ

£¨Ò»£©»·¾³×ã¼£ºËËã
1. Èý²¿ÃÅϵͳʾÀý

»·¾³×ã¼£ºËË㣺ºËËãÏû·ÑÕßÏû·Ñ²¿ÃÅCµÄ²úÆ·Ëùµ¼ÖµÄÉÏÓÎËùÓв¿ÃÅÅŷŵÄÎÛȾÎï×ÜÁ¿
2. ¹¯ºËËãʾÀý
´ÓÉú²ú¶ËÇåµ¥ºËËãÅŷŵ½²»Í¬»·¾³½éÖÊÖеĹ¯¸÷ÊǶàÉÙ£¬Ê¶±ðÖ±½ÓÅÅ·ÅÔ´¡£ÔÙ»ùÓÚÅÅ·ÅÔ´ÅÅ·ÅÇåµ¥¹¹½¨»·¾³ÎÀÐÇÕË»§£¬ÓÃÈ«ÇòͶÈë²ú³öÄ£ÐͼÆËã»·¾³×ã¼££¨Ïû·Ñ¶Ë£©£¬½á¹û±íÃ÷£¬¹úÄÚÏû·ÑÊÇÖйú¹¯ÅŷŵÄÖ÷Òª¹±Ï×Õߣ¬´ïµ½70%ÒÔÉÏ£¬Æä´ÎÊDZ±ÃÀºÍÎ÷Å·¡£Ñо¿ºËËãÁ˹úÄں͹úÍâÏû·Ñͨ¹ýÈ«Çò²úÒµÁ´Ö±½ÓºÍ¼ä½Ó´«µ¼Ëùµ¼ÖµÄÖйú¹¯ÅÅ·ÅÁ¿¡£´ËÍ⣬ѡȡÖйúºÍÃÀ¹úÔÚÐÐÒµ²ãÃæ£¬»òÕß˵²¿ÃŲãÃæ×ö½øÒ»²½·ÖÎö£¬·¢ÏÖͬÑùÊÇ´ÓÏû·Ñ¶Ë·ÖÎö£¬¶ÔÓÚ²»Í¬ÇøÓò£¬µ÷¿Ø×¥ÊÖÊÇÓвîÒìµÄ£¨Èç¶ÔÓÚ¹úÄÚÏû·ÑÀ´Ëµ£¬½¨ÖþÐÐÒµ¹±Ï××î´ó£¬µ«¶ÔÓÚÃÀ¹úÏû·ÑÀ´Ëµ£¬½¨ÖþÐÐÒµ¹±Ïײ¢²»´ó£¬·´¶øÊǺܶà·þÎñÒµ¹±Ï××î´ó£©¡£
£¨¶þ£©ÉúÃüÖÜÆÚÆÀ¼Û
´«Í³µÄ»ùÓÚ¹ý³ÌµÄÉúÃüÖÜÆÚÆÀ¼Û£ºÊ÷×´×·Ëݹý³Ì£¬½á¹û´æÔÚ¡°½Ø¶ÏÎó²î¡±£¨ÓÉÓÚÊý¾Ý¿âËùº¸ÇµÄ²úÆ·Àà±ðÓÐÏÞ£¬¶øÊµ¼ÊÉÏÊг¡¾¼Ãϵͳ·¶Î§¸ü´ó£¬²úÉúÁ˽ضÏÎó²î£©¡£µ«Í¶Èë²ú³öÄ£ÐͿɺ¸Ç¾¼ÃϵͳµÄÍêÕû²úÒµÁ´£¬ÍØÕ¹ÁË»ùÓÚ¹ý³ÌµÄÉúÃüÖÜÆÚÆÀ¼ÛµÄϵͳ±ß½ç¡£°Ñ»ùÓÚ¹ý³ÌµÄÉúÃüÖÜÆÚÆÀ¼ÛÄÚǶµ½Í¶Èë²ú³öÄ£ÐÍÀ°ÑN¸ö²¿ÃÅ¡¢M¸ö»·½ÚÓÃÀ©Õ¹µÄͶÈë²ú³ö±í£¬»òÕßÊÇ»ìºÏµÄͶÈë²ú³ö±í±íʾ£¬Í¨¹ý¾ØÕóÔËËãËã³öijһÖÖ²úÆ·ÔÚij¸ö»·½Ú¶ÔÕû¸ö¾¼ÃϵͳËù²úÉúµÄÓ°Ïì¡£ES&TµÄһƪÎÄÕ°ѻùÓÚ¹ý³ÌµÄLCAºÍ»ìºÏLCA£¨°ÑͶÈë²ú³öºÍ»ùÓÚ¹ý³ÌµÄLCAǶÌ×£©×öÁ˱Ƚϣ¬·ÖÎö²»Í¬Çé¿öÏ»ùÓÚ¹ý³ÌµÄLCAÔÚ»ìºÏLCAÀïµÄÕ¼±È£¬½á¹û±íÃ÷£¬¶ÔÓڴ󲿷ÖÉúÃüÖÜÆÚ»·¾³Ó°ÏìÖ¸±ê£¬½á¹ûÊǿɽÓÊܵģ¬ÄÜ´ïµ½80%~90%¡£µ«¶ÔÓÚÉÙÊýÖ¸±ê£¬±ÈÈç˵½µØÉú̬¶¾ÐÔ£¬Õ¼±È½ö60%£¬ÔÚ×ÊÔ´·½Ã棬ÓÈÆäÊǽðÊô£¬»ùÓÚ¹ý³ÌµÄLCA½öÄܺËËã20%£¬¶ø80%µÄÓ°Ïì¶¼±»½Ø¶ÏÎó²îºöÂÔÁË¡£
£¨Èý£©¾¼ÃÐÐΪ¶Ô»·¾³Ñ¹Á¦µÄÓ°Ïì
¿É·ÖÎöÇøÓòÄÚ¾¼ÃϵͳÑݱä¶Ô»·¾³Ñ¹Á¦µÄÓ°Ïì¡£´ÓÄ©¶Ë¿ØÖÆ¡¢Éú²ú½á¹¹¡¢Ïû·Ñ½á¹¹¡¢¾¼ÃÀàÐÍ¡¢¸»Ô£³Ì¶È¡¢È˿ڹæÄ£µÈ·ÖÎö¶Ô»·¾³Ñ¹Á¦±ä»¯µÄÓ°Ï죬ʶ±ðÖØÒªµÄµ÷¿ØÒªËØ¡£
P=FLYsyggp£¬ÆäÖÐFΪ»·¾³Ç¿¶È£¬LΪÀï°ºÌè·òÄæ¾ØÕ󣬴ú±íÉú²ú½á¹¹£¬YsΪ¾¼ÃÀàÐÍ£¬ygΪÏû·Ñ½á¹¹£¬gΪ¸»Ô£³Ì¶È£¬pΪÈ˿ڹæÄ£¡£
2014Ä꣬ES&TµÄһƪÎÄÕ·ÖÎöÁË32Àà×ÊÔ´ºÍÎÛȾÎïµÄ±ä¶¯Çé¿ö£¬·¢ÏÖÔÚ1992Äêµ½2010ÄêÆÚ¼ä£¬Íƶ¯»·¾³Ñ¹Á¦Ôö³¤µÄÒòËØ°üÀ¨£ºÐèÇóˮƽ¡¢ÍâÏòÐ;¼Ãģʽ¡¢È˿ڡ¢Ïû·ÑÐÐΪ£»¼õ»º»·¾³Ñ¹Á¦µÄÒòËØ°üÀ¨£ºÎïÖÊЧÂʺÍÉú²úÐÐΪ£¨¼¼Êõ½ø²½£©¡£
£¨ËÄ£©·çÏÕ¶Ô²úÒµÁ´¾¼ÃµÄÓ°Ïì
¿É·ÖÎö·çÏÕ¶Ô¾¼Ãϵͳ²úÉúµÄ³å»÷¡£Èç·çÏÕ»áÓ°Ïìij²¿ÃŵIJúÆ·ÐèÇ󣬽ø¶øÍ¨¹ý²úÒµÁ´Ó°ÏìÆäËû²¿ÃŵÄÉú²ú»î¶¯¡£»ùÓÚͶÈë²ú³öÄ£ÐÍ£¬¿Éʶ±ð´àÈõ»·½Ú£¬Ö§³Ö·çÏÕÓ¦¶ÔÓëÔ¤·À¡£
¦¤x=£¨I-A£©-1¡Á¦¤y£¬ÆäÖЦ¤xΪÕû¸ö¾¼ÃϵͳµÄËðʧ£¬¦¤yΪ¶Ôij²¿ÃŵÄÐèÇóµÄ±ä¶¯¡£
ÁíһƪES&TµÄÎÄÕÂÑо¿ÃÛ·äÊÚ·Û·þÎñÖж϶ÔÃÀ¹ú¾¼Ãϵͳ²úÉúµÄÓ°Ï죬½á¹û±íÃ÷Ó°Ïì×î´óµÄÊÇ·¿µØ²ú£¬È»ºóÊÇÅú·¢ÁãÊÛ¡¢Å©ÒµÏà¹Ø¡¢Å©Ò©Ïà¹Ø¡¢»¯Ê¯È¼ÁÏ¿ª²É¼Ó¹¤¡£Óɴ˿ɼû°Ñ¼ä½ÓÓ°Ï쿼ÂǽøÀ´ºóËùµÃµ½µÄ½á¹û£¬¸úÖ»¿¼ÂÇÖ±½ÓÓ°ÏìÊǺܲ»Ò»ÑùµÄ¡£ÃÀ¹úÃÜÎ÷¸ù´óѧÍŶÓÒ²»ùÓÚͶÈë²ú³öÄ£ÐÍ·ÖÎöÁËË®×ÊÔ´ºÄ½ß»á¶ÔÈ«ÇòóÒײúÉúʲôÑùµÄÓ°Ïì¡£
£¨Î壩¾¼Ã»·¾³ÍøÂç·ÖÎö

Óë´óÊý¾ÝµÄ·ÖÎöÊÖ¶ÎÏà¹Ø¡£µã´ú±í£ºÇøÓò¡¢²¿ÃÅ¡¢²úÆ·£»±ß´ú±í£º²úÆ·½»Òס¢Òþº¬ÎïÖÊÁ÷¡£¾¼Ã»·¾³ÍøÂç·ÖÎöÖÐÓÐÁ½ÀàÔËÓý϶ࣺÖнéÖÐÐĶȣ¨betweenness£©ºÍ¾ÛÀàÌØÕ÷£¨ÈºÂäÌØÕ÷£¬community structure£©¡£
ÖнéÖÐÐĶȣºÊ¶±ðÖмäת»»Õß¡£È粿ÃÅB£¬´ÓÄ©¶Ë¿ØÖÆ»òÏû·Ñ¶Ë¿ØÖƶ¼²»»á¹Ø×¢µ½²¿ÃÅB£¬¼ÈûÓÐÖ±½ÓÅÅ·Å£¬Ò²Ã»ÓнøÈë×îÖÕÏû·Ñ»·½Ú£¬µ«ÔÚÍøÂçÊDzúÆ·Á÷ͨ¡¢ÎÛȾÎïÒþº¬Á÷¶¯µÄ¹Ø¼ü¿ØÖƽڵ㡣
¾ÛÀàÌØÕ÷£ºÈç·ÖÎöÃÀ¹ú¾¼Ã²¿ÃŶԶ¯ÎïÊÚ·ÛµÄÒÀÀµµÄ¾ÛÀàÌØÕ÷¡£×ܹ²¾Û³öÎå¸öÀà±ð£¬¿É¿´³öÄÄЩ²¿ÃÅÓ¦¸ÃÈ¥Ï໥ÁªÏµÁªºÏ£¬¹²Í¬Ó¦¶ÔÉúÎï¶àÑùÐÔ¼õÉÙ´øÀ´µÄ·çÏÕ¡£È«Çò¶þÑõ»¯Ì¼µÄÀàËÆÑо¿Ò²ÓÐÀàËÆµÄ½á¹û£¬¿É¿´³öÄÄЩ²¿ÃÅ¿ÉÄܸúÆäËû¹ú¼ÒµÄһЩ²¿ÃŹØÁª¸ü½ôÃÜ£¬¿É»ùÓڴ˼ÓÇ¿²¿ÃŲãÃæ¿çÇøÓòºÏ×÷¡£
¿Î³Ì×ܽ᣺µËZ·Æ¡¢Ð¤ÃÈ¡¢¶Zçù